平素より『麺場 田所商店』グループをご愛顧賜り誠にありがとうございます。
年末年始の営業につきましては、店舗により営業日・営業時間が異なります。
以下の添付ファイル(2025年12月16日時点)をご参照くださいますようお願いいたします。
誠にお手数ではございますが、記載のない店舗また詳細につきましては
直接店舗までお問い合わせいただけますよう、よろしくお願い申し上げます。
また、天候および緊急の事情等により営業時間等変更となる場合もございますの
でご来店の前に各店舗へ直接お問い合わせくださるよう何卒よろしくお願いいた
します。
2026年におきましても、地域の皆様に愛される店舗を目指し精進してまいりま
す。引き続きご愛顧のほど何卒よろしくお願い申し上げます。
麺場 田所商店 グループ
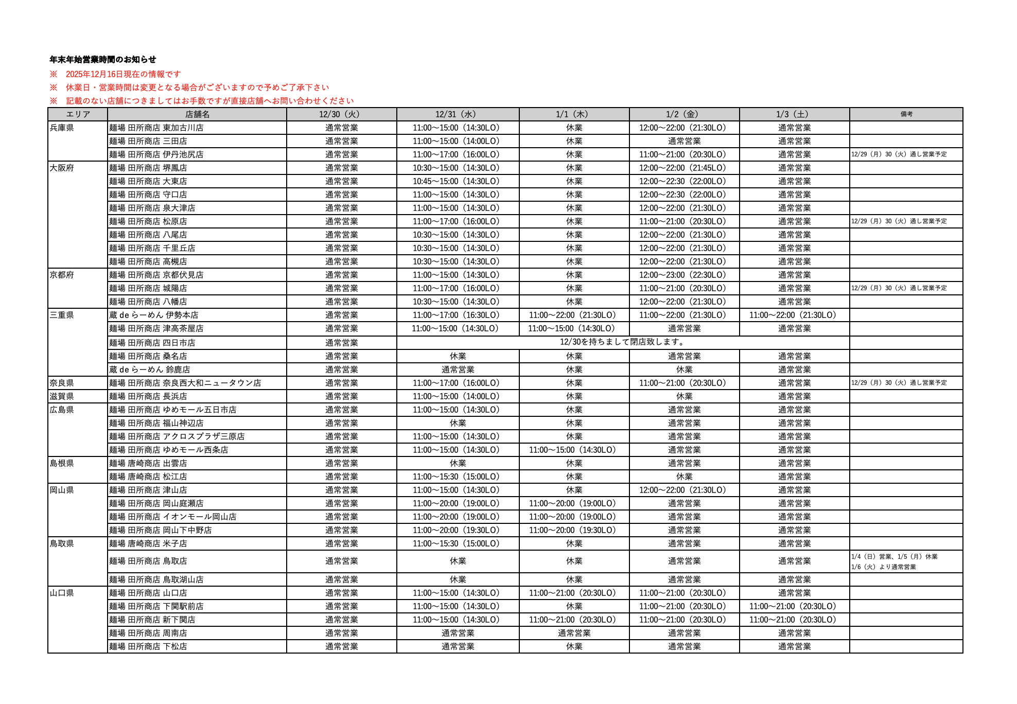
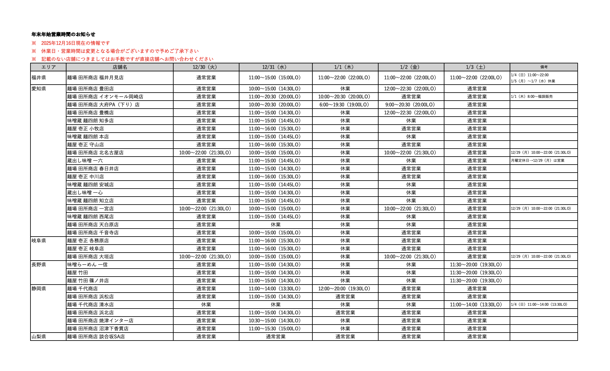
【年末年始スケジュール】
※以下エリアをクリックの上、ご確認くださいませ
・北海道、東北エリア
(北海道、岩手県、宮城県、福島県)
・関東エリア
(東京都、千葉県、神奈川県、埼玉県、茨城県、群馬県)
・中部エリア
(福井県、愛知県、岐阜県、長野県、静岡県、山梨県)
・近畿、中国エリア
(兵庫県、大阪府、京都府、三重県、奈良県、滋賀県、)
(広島県、島根県、岡山県、鳥取県、山口県)
・四国、九州、沖縄エリア
(香川県、愛媛県、)
(福岡県、長崎県、佐賀県、熊本県、宮崎県、鹿児島県、沖縄県)


